Štúdia top riešení od Intergraph + Fluidflow3
· Úvod
Cieľom príspevku je stručné predstavenie výpočtárskych, projekčných a konštrukčných softvérov, ako ucelené softvérové riešenie pri návrhu parovodu. Spomenuté softvéry sú súčasťou portfólia spoločnosti cadvision -u a v danej problematike predstavujú svetových lídrov v softvérovom riešení. V príspevku je na porovnanie načrtnutá náročnosť manuálnych výpočtov, ktoré sú nahradené jednotlivými aplikáciami.
Spoločnosť cadvision s.r.o. ponuka komplexne riešenia, ktorými v kombinácií s niekoľkými produktmi dosiahnete jedinečné možnosti projektovania veľkých, stredne veľkých aj malých projektov. Konfiguráciou “X” produktov vytvoríte úžasné kvalitné výsledky a zefektívnite svoju projekčnú, výpočtovú činnosť a pevnostných analýz potrubia, zariadení,…. Pozrite si prípadovú štúdiu, kde boli použité produkty pre 3D model – Intergraph CADWorx, Autodesk Inventor, výpočty Intergraph CAESARII a FLUIDFLOW3.
Prípadová štúdia článok: ->
· Zadanie
Na základe intenzifikácie veľkokapacitnej prevádzky vznikol dopyt na hmotnostný prietok m ̇ =50 000 kg/h prehriatej pary, pri teplote T=430 ℃ a pri tlaku p=4 MPa g. Z požiadavky jednotlivých prevádzok medzi vstupom a výstupom prehriatej pary vznikla podmienka zabezpečenia maximálnej dovolenej tlakovej straty, ktorá predstavuje ∆P=160 KPa. Pri návrhu vysokotlakého parovodu sa vychádzalo z logického sledu na seba nadväzujúcich projekčných operácií.
- Zameranie a vymodelovanie existujúcich potrubných mostov po ktorých bude parovod trasovaný (Inventor 2014).
- Trasovanie parovodu (CADworks 2014).
- Návrh nominálneho priemeru parovodu na zabezpečenie hmotnostného prietoku prehriatej pary m ̇=50 000 kg/h pri maximálnej tlakovej strate ∆P=160 KPa (FluidFlow 3)..
- Návrh nominálnej hrúbky steny na zabezpečenie prietoku pary pri tlaku p=4 MPa g a pri teplote T=430 ℃ (Caesar II 2014 R1). .
- Návrh dilatačných kompenzátorov na kompenzáciu dilatujúceho potrubia pri rozdiele teplôt ΔT=410 ℃ (Caesar II 2014 R1)..
- Návrh pružných úchytov (Caesar II 2014 R1).
- Kontrola potrubného systému na primárne zaťaženia (Caesar II 2014 R1).
- Kontrola potrubného systému na sekundárne zaťaženia (Caesar II 2014 R1).
- Kontrola potrubného systému pri hydrostatickej skúške (Caesar II 2014 R1).
- Návrh tepelnej izolácie a hrúbky izolácie (FluidFlow 3).
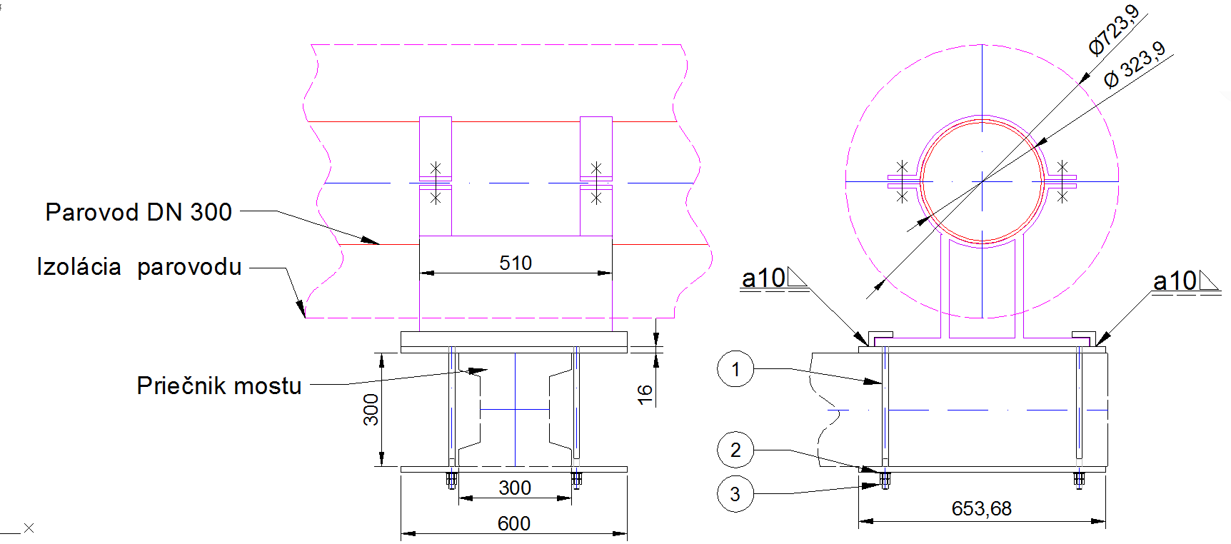
· Model potrubných mostov (Inventor 2014) – Autodesk
Pred začiatkom samotného návrhu parovodu bola celá oblasť trasovania zmapovaná a zameraná. Jestvujúce potrubné mosty a konštrukčné prvky po ktorých sa mal parovod trasovať, boli z dôvodu jednoduchosti a presnosti vymodelované v konštrukčnom softvére Inventor 2014.
Potrubné mosty vytvorené v konštrukčnom softvére Inventor 2014.
Potrubné mosty a konštrukčné celky vytvorené v 3D podobe predstavujú dobrý základ pre elimináciu všetkých kolízií a zjednodušujú samotný návrh trasovania a ukotvenia parovodu.
· Trasovanie parovodu (CADworks 2014) – Intergraph
Pohľad na potrubnú podperu kotvenú na železobetónový potrubný most, vytvorené v CADworkse 2014.
Parovod bol trasovaný v projekčnom softvére CADworks 2014, do prostredia aplikácie boli naimportované potrubné mosty, do ktorých sa vytvoril prvý návrh uloženia parovodu. Z vytvoreného predbežného modelu bolo možné odčítať dĺžku potrubia, počet kolien a miesta kotvenia parovodu.
· Návrh nominálneho priemeru parovodu (FluidFlow3)
Pre výpočet optimálneho priemeru parovodu na dopravu m ̇=50 000 kg/h prehriatej pary pri maximálnej dovolenej tlakovej strate ∆P=160 KPa, bol použitý výpočtársky softvér FluidFlow3.
Izometrický model vo Fluidflow3.
V izometrickom prostredí aplikácie bol zostrojený prvotný model parovodu, kde bola vykonaná séria výpočtov v závislosti od absolútnej drsnosti vnútorného povrchu potrubia, ktorá sa dá predpokladať z časového horizontu životnosti parovodu. Aplikácia bola nastavená, aby výsledky výpočtov zapisovala do grafickej podoby. Výpočet bol vykonaný pre rôzne priemery potrubia, rôzne rádiusy potrubných kolien v závislosti od absolútnej drsnosti.
Grafická závislosť tlakovej straty od absolútnej drsnosti vnútorného povrchu potrubia pre nominálny priemer potrubia DN 250.

Grafická závislosť tlakovej straty od absolútnej drsnosti vnútorného povrchu potrubia pre nominálny priemer potrubia DN 300.
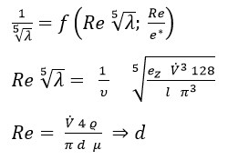
Pre dosiahnutie relevantných výsledkov za pomoci už spomínaného softvéru, nie je potrebná znalosť komplikovanej fyzikálnej disciplíny prúdenie kvapaliny, ale plne postačuje správne vyplnenie náležitých informácií o stave potrubia, potrubných kolien, prepravovaného média a zvolenie si vyhovujúceho výpočtového modelu.
Dialógové okno výpočtárskeho softvéru FLUIDFLOW, pre stav potrubia.
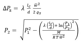
Porovnanie náročnosti dosiahnutia výsledku optimálneho priemeru parovodu, medzi manuálnym výpočtom a výpočtom za pomoci výpočtárskeho softvéru Fluidflow3 je neporovnateľný.
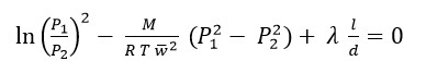
Pri manuálnom výpočte tlakovej straty za pomoci kriteriálnych rovníc by sme museli najskôr vypočítať priemer parovodu z upravených kriteriálnych vzťahov, kde je zámerne vyňatý hľadaný priemer:
A následne by sme museli za pomoci vzťahu pre izotermické prúdenie pre stlačiteľné kvapaliny iteratívnym spôsobom vyjadriť výstupný tlak z parovodu:

Pričom netreba zabúdať na miestne straty kolien. A dostali by sme jediný bod grafickej závislosti, inými slovami je to neporovnateľná obtiažnosť a stále hrozia numerické chyby z nepozornosti.
Pre ďalší výpočet parovodu budeme uvažovať s nominálnym priemerom potrubia DN 300, a to z dôvodu nízkej rezervy k maximálnej dovolenej tlakovej straty. Pri zaradení tepelných kompenzátorov do potrubného systému, by bola pri nominálnom priemere DN 250 maximálna dovolená tlaková strata presiahnutá.
· Pevnostný výpočet parovodu v Caesare II 2014 R1 – Intergraph
Pevnostný výpočet parovodu bol realizovaný vo výpočtárskom softvére Caesar II 2014 R1, pričom kompletný výpočet je v súlade s európskou potrubárskou normou EN-13480. Do 3D modelovacieho prostredia Caesaru bol už vytvorený model potrubného systému v CADworks (CWx) naimportovaný priamou funkciou, čo znamená, že vytvorený model už nie je potrebné konvertovať do „pcf“ formátu, ako pri všetkých projekčných aplikáciách, ale priamo sa dá preniesť do výpočtárskeho prostredia, čo nám umožňuje model importovať, ale aj exportovať.
Priama funkcia na import CWx modelu do Caesaru.
Pre každú časť už naimportovaného modelu potrubného systému stačí doplniť všeobecné informácie ohľadom potrubia, ako:
- Hrúbka steny potrubia a kolien.
- Korózne úbytky materiálu.
- Erózne úbytky materiálu.
- Výrobné tolerancie hrúbky steny potrubia.
- Materiál potrubia, ktorý je uvedený v rozsiahlych knižniciach materiálov a obsahuje už všetky fyzikálno-chemické informácie, ako:
- Modul pružnosti v ťahu.
- Poissonova konštanta.
- Koeficient tepelnej rozťažnosti.
- A pre danú normu, čiže v našom prípade pre EN-13480 už vyjadrené porovnávacie napätia, ako:
- Základne dovolené napätie pri maximálnej teplote kovu pre primárne napätia

-
- Dovolený rozsah napätí pre sekundárne napätia

-
- Porovnávacie napätie pre hydrostatická skúška
-
- Zaťažovacie stavy potrubia.
- Tlak pre hydrostatickú skúšku.
- Spôsob úchytu potrubia.
Dialógové okno výpočtárskeho softvéru CaesarII, charakterizujúce vstupy pre každý element potrubného systému.
Po korektnom vyplnení všetkých vstupov, je možné vykonávať rôzne výpočty pre rôzne zaťažujúce stavy, ako:
- Návrh tepelných kompenzátorov pre sekundárne zaťaženia.
Grafická interpretácia napätie pre tepelný kompenzátor pri sekundárnom zaťažení.
Grafická interpretácia deformácie tepelného kompenzátora pri sekundárnom zaťažení.
- Návrh pružných úchytov, pričom sú k dispozícii katalógy od 33 popredných svetových výrobcov.
- Kontrola potrubného systému pre primárne zaťaženia:
Grafická interpretácia napätia pre najzaťaženejšiu časť potrubia pri primárnom zaťažení.
- Kontrola potrubného systému pre sekundárne zaťaženia:
Grafická interpretácia napätia pre najzaťaženejšiu časť potrubia pri sekundárnom zaťažení.
- Kontrola potrubného systému pre náhodné zaťaženia:
- Kontrola potrubného systému pri hydrostatickej skúške.
Grafická interpretácia napätia pre najzaťaženejšiu časť potrubia pri hydrostatickej skúške.
Pre každý element potrubného systému je možné z Caesaru dostať informácie o pevnostnom výpočte v grafickej, animačnej a textovej podobe pre:
- Pohyb potrubia pre daný zaťažujúci stav.
- Sily a momenty pôsobiace v podperách pre daný zaťažujúci stav.
- Sily a momenty pôsobiace v jednotlivých elementoch potrubia pre daný zaťažujúci stav.
- Napätia pôsobiace v jednotlivých elementoch potrubia pre daný zaťažujúci stav.
Po pevnostnom výpočte a požadovaných úpravách potrubného systému je možné 3D model spätne exportovať do prostredia CADworksu a vytvoriť požadované technické výkresy. Pre výpis materiálu a generovanie izometrických výkresov vo DWG formáte, nie je potrebné model exportovať, ale je možné vytvoriť ich priamo v prostredí Caesaru.
Jeden z izometrických modelov generovaných priamo v CAESARII.
Pohľad na tepelný kompenzátor uložený na potrubnom moste, model vytvorený v CADWorks 2014.
· Návrh tepelnej izolácie (Fluidflowe3).
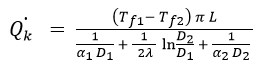
Návrh tepelnej izolácie parovodu je v súlade s maximálnou dovolenou teplotou na povrchu izolácie a s najväčšou ekonomickou úsporou. Ekonomická úspora predstavuje takú hrúbku izolácie, ktorej súčet nákladov na jej výstavbu a nákladov na tepelnú stratu počas určitého časového úseku predstavujú minimálnu hodnotu. Čiže je zostavená závislosť investičných nákladov od hrúbky izolácie, kde prichádza k nárastu hodnoty, závislosť tepelnej straty premietnutá do nákladov pri danej hrúbky, kde prichádza k poklesu hodnoty a hľadá sa investičné minimum. Inými slovami sa hľadá minimum súčtu ročných investičných nákladov a ročných nákladov na tepelnú stratu, ktorý je vyjadrený vzťahom ![]()
Ročné investičné náklady na izoláciu
Ročné náklady na tepelnú stratu
Pre vyjadrenie ročných nákladov na tepelnú stratu
, respektíve pre vyjadrenie uniknutej tepelnej energie
, z ktorej je ďalej vyjadrené podľa vzťahu
, je opäť použitý výpočtársky softvér Fluidflow3.
Ročné náklady na tepelnú stratu
Vo Fluidflowe3 je tepelná strata analyzovaná mechanizmom konvekcie a radiácie, radiácia môže pri vyšších teplotách (napríklad pri parovodoch) dosahovať až z celkovej tepelnej straty. Pre výpočet tepelnej straty je k dispozícii viac predvolených možností, ako:
- Poznáme celkový koeficient prestupu tepla

- Poznáme celkový prestup tepla

- Poznáme len vonkajšie poveternostné vplyvy
Pre poslednú možnosť výpočtu tepelnej straty vyplníme zodpovedajúce dialógové okno s kľúčovými informáciami pre výpočet tepelnej straty, ako:
- Druh tepelnej izolácie so závislosťou súčiniteľu tepelného odporu pri danej teplote
- Hrúbku izolácie
- Emisivita povrchu opláštenia izolácie
- Priemernú vonkajšiu teplotu
- Priemernú rýchlosť vetra
Po korektnom nastavení softvéru dostaneme výsledky, ako hľadaný extrém funkcie.
Grafický zápis výsledkov z Fluidflow3
Alebo presné výsledky zapísané v tabuľke.
Hlavička tabuľky pre výsledky z Fluidflow3
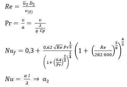
Ak by sa uniknuté teplo z potrubia počítalo analyticky, musel by sa vyjadriť súčiniteľ prestupu tepla na vnútornej strane potrubia:
Na vonkajšej strane potrubia:
Vyjadrenie celkového teplotného toku konvekciou:
Radiáciou:
A pritom ide samozrejme o výpočet iteratívny zo vždy novými chemicko-fyzikalnými vlastnosťami vonkajšieho a vnútorného média a dostaneme jednu izoláciu.
Detail uchytenia parovodu na potrubný generované a upravené v CAESARII.
· Záver
Pri návrhu parovodu, či už procesnom, pevnostnom alebo pri samotnom trasovaní potrubia, zohrali neodmysliteľnú súčasť použité softvéry. V porovnaní s manuálnym výpočtom, softvéry vo všeobecnosti umožňujú veľký priestor pre kreativitu a optimalizáciu samotného návrhu.
































Pingback: Fórum Pipe Stress Analysis ´14 | Stretnutie potrubárov ´14 | CADpiping